Home

Research

Academics

About me
my pic SCExAO in the laboratory at Hilo base facility.



Contact details

PhD student
Subaru Telescope
650 N A'Ohoku Place
Hilo-96720, Hawaii
USA

singh@naoj.org
garima.singh@obspm.fr


Ph: +1 (808) 934 5966
Fax: +1 (808) 934 5984



Click to visit
Subaru Telescope
LESIA
Current Research Summary

PhD Title: Low-order wavefront control and calibration for phase mask coronagraphs


Overview

One of the difficulty in direct detection of a habitable companion around a star is their angular separation. Star's glare suppresses the signal from the planet orbiting at < 2 AU, affecting planet's direct detection at the diffraction limit for a given wavelength. To probe the area close to the diffraction limit (1-2 λ/D) requires a coronagraph that can allow the detection at smallest IWA possible. With the advent of phase mask coronagraphs (PMCs), which introduce phase shifts in the focal plane, it is possible to reach near the diffraction limit (1 λ/D IWA for vector vortex coronagraph (VVC) and phase induced amplitude apodization (PIAA)).

But the issue of pointing errors and other low-order aberrations, as I mentioned earlier, limits the ExAO systems to perform direct imaging of exoplanets. How well these wavefront aberrations upstream the coronagraph are handled drives the coronagraphic performance. To prevent coronagraphic leaks due to tip-tilt errors, I am working on a concept where within a coronagraph, the low-order aberrations are sensed at the Lyot plane. I call this new sensor a Lyot-based low-order wavefront sensor which is now operational on SCExAO at Subaru Telescope. With my ongoing research, I am laying the groundwork for measuring and correcting pointing errors near the diffraction limit which is one of the major obstacle in performing high contrast imaging of habitable planets at small angular separation.


Lyot-based Low-order Wavefront Sensor (LLOWFS), Singh et al. PASP 2014

Principle

Solutions to control low-order aberrations exist for occulting coronagraphs, but not for PMCs. For example, the coronagraphic low-order wavefront sensor (CLOWFS), which uses a partial reflective focal plane mask to sense the residual starlight rejected by the occulting coronagraphs, is not suitable for non-reflective PMCs. During my PhD, I addressed this issue by designing, building and programming a PMC compatible version of CLOWFS called as LLOWFS. In this case, the starlight rejected by the coronagraphic phase mask is monitored in the downstream pupil plane using a reflective Lyot stop (RLS).

The basic schematic of LLOWFS is shown in Fig.1: the phase mask at the focal plane diffracts the starlight outside of the geometrical pupil. The diffracted starlight in the reimaged pupil plane is then reflected via a reflective Lyot stop towards a reimaged focal plane. Finally, the reflected light is sensed by the low-order wavefront sensor (a detector) which measures the low-order aberrations.

llowfs
Figure 1 (left): Schematic diagram of Lyot-based low order wavefront sensor (LLOWFS). Singh et al. PASP 2014

LLOWFS is a linear wavefront reconstructor which relies on the assumption that if post-AO wavefront residuals are < 1 radian rms then the intensity variations in the reflected light are a linear combination of the low-order aberrations occurring before the focal plane phase mask.

Considering only tip-tilt modes (αx, αy) as an example, for any instant image IRxy) reflected by the RLS, one can identify the unknown tip-tilt errors by using a least square algorithm:

IRxy) - I0 = αx Sx + αy Sy (1),

where I0 is the reference image, Sx and Sy are the responses of the sensor to the tip-tilt errors (calibration images).



LLOWFS Performance

There are two ways of controlling the low-order aberrations on SCExAO. First when LLOWFS applies corrections to the DM to control low-order aberrations and second when LLOWFS instead of controlling the DM directly, changes the zero-point of the Pyramid wavefront sensor on the visible bench. In the later case, both ExAO loop and low-order loop runs together.

Note: On SCExAO, we do not have a separate tip-tilt mirror that can be derived to correct for the pointing errors on the IR bench. SCExAO's 2000-actuator deformable mirror (DM) is itself used as a corrector by LLOWFS. Also, we use the same DM to inject simulated single phase Kolmogorv screen for the testing of the control loop in the laboratory. User has the choice of selecting the strength and the speed of the turbulence. However the simulation is limited to 22.5 cycles/aperture only.

Here, I will present the first case, when LLOWFS uses the DM to correct for low-order aberrations on the IR bench.

m1
Figure 2 : Calibration frames obtained in the laboratory on SCExAO for a) Vector Vortex coronagraph and b) Four quadrant phase mask by applying 30 nm rms of tip, tilt, focus, oblique and right astigmatism phasemaps on the DM to obtain sensor response to these low order modes. Note: All the images are at the same brightness scale.

Figure 2 shows the calibration frames obtained for the first five Zernike modes on SCExAO in the laboratory for VVC (Fig. 2a) and FQPM (Fig. 2b). These images are the response of the sensor to the low-order modes, obtained by sending 30 nm rms phase maps (60 nm rms on the wavefront) to the DM for tip, tilt, focus, oblique and right astigmatism. In Eq. (1), these frames are used to estimate the amount of the low-order aberrations present in the wavefront. The estimated errors are then used to compute the control matrix via singular value decomposition (SVD) method. And the pointing errors are compensated by sending control computeds to the DM during LLOWFS closed-loop operation.


(a) LLOWFS Laboratory Results (as of December 2014)


tilt res
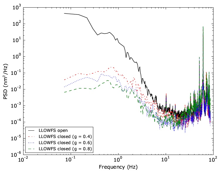
Figure 3 (left): Open and closed-loop residuals for tip, tilt, focus, oblique and right astigmatism under the simulated dynamic turbulence in the laboratory. The amplitude of the turbulence was 150 nm rms and wind speed as 10 m/s. The standard deviation of the closed-loop residuals sampled at 1 Hz sampling frequency noted to be 10-4 λ/D. Figure 3 (right): The power spectral density of the mode tip during open and closed-loop. LLOWFS control loop performance is compared at different loop gains. LLOWFS corrects vibrations at < 10 Hz, more eficiently with the gain of 0.8.

Note: SCExAO's internal LLOWFS camera is a fast camera with a frame rate of 170 Hz. The closed-loop residuals when sampled at Nyquist frequency provides the poinitng accuracy of 10-3 λ/D. However, its interesting to also sample the dataset at 1 Hz because this is the typical frequency of the science facility instrument (for example HICIAO). LLOWFS closed-loop correction is more sensitive towards the slow-varying spatial frequency component of the turbulence at 1 Hz.


(b) LLOWFS On-sky Results (as of September 2014)


res
Figure 4 a) shows the calibration frames obtained on sky by applying 100 nm rms of tip, tilt and focus on DM (0.24 λ/D angle on-sky) for Vega. Note: All the images are at the same brightness scale. Figure 4 b) Vortex post coronagraphic science image (sequence length: 30mn) during LLOWFS closed-loop on Vega. LLOWFS succeeded maintaining the starlight behind the vortex phase mask.



res tilt
Figure 5 (left): Showing the LLOWFS closed-loop performance on-sky with VVC. With a seeing of 1.3" in H band, AO188 provided 30% Strehl in closed-loop on the star Vega. In these conditions, I closed the loop of the LLOWFS with an acquisition frequency of 80 Hz. With a gain of 0.3, the loop remained stable for an hour, and became unstable temporarily because of the instability in AO188 loop due to seeing degradation. A pointing accuracy below 7 x 10-3 λ/D was obtained for tip and tilt errors. X axis: data binned by 100 frames. Y axis: From count 0 to 160000, AO188 loop closed + LLOWFS loop open and from counts 160000 and onwards, AO188 loop closed + LLOWFS loop closed. Figure 5 (right): On-sky power spectral density of LLOWFS control loop for the mode tip. LLOWFS in closed-loop mode corrected disturbances < 1 Hz.


res
Figure 5: LLOWFS open and closed-loop median of 800 frames on the Kappa Pegasi, a triple star system. The black spot at the middle of the PSF on left in both images is the Vortex coronagraph.



Current status (as of January 2015)

We recently validated LLOWFS closed-loop performance with first ten Zernike modes with VVC in the laboratory. Check out the video for open and closed-loop performance. LLOWFS closed-loop performance video link



Back





© Garima Singh 2014