トピックス
球状星団赤色巨星におけるカリウム組成決定
--- 2008年度総研大すばる実習の成果 ---
2009年8月20日
総合研究大学院大学 (総研大) の大学院生の授業の一環としてのすばる望遠鏡を用いた観測実習は、6名の参加者のもと、2008年8月20日の前半夜に高分散分光器(HDS)を用いて球状星団の赤色巨星の観測を行いました。限られた観測時間(4時間半)内で科学的かつ統計的に有意義な議論が出来るデータを得ることを目標に、球状星団で最も明るい赤色巨星枝の天体をターゲットに選んでHDSの感度が最も良い赤領域で観測する計画を立て、異なる金属量の球状星団三種(M4, M13, M15)それぞれについて5個ずつ計15個(+明るい標準星3個)のスペクトルを得ることが出来ました。観測とデータ整約・解析は総研大と国立天文台スタッフの指導の下に行われました。その結果、写真赤外域のカリウム共鳴線を用いた各星のカリウム組成決定に成功し(球状星団では初めての報告)ディスクからハローまでの広い金属量範囲の[K/Fe]比(銀河系におけるこの元素の合成史を探る鍵となる量)のふるまいを確定して、元素合成理論に観測面からの制約を与えることが出来ました。
本研究は以下の学術論文として出版されました。
"Potassium Abundances in Red Giants of Mildly to Very Metal-Poor Globular Clusters" by Y. Takeda, H. Kaneko, N. Matsumoto, S. Oshino, H. Ito, and T. Shibuya
Publ. Astron. Soc. Japan, Vol. 61, 563-576 (2009)
|
図1: 観測した個々の星の[K/H] (カリウム組成:λ7665線とλ7699線のそれぞれから導いた値)と[Fe/H](鉄組成)の比較。組成はいずれも太陽に相対的な値である。 (拡大) |
|
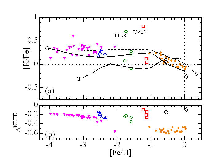
図2: 上図(a)は[K/Fe]比(カリウム対鉄の相対組成比)の[Fe/H](鉄組成で金属量の目安)に対するふるまい、下図(b)はΔ(NLTE)(カリウム組成を求める際に適用したnon-LTE補正)の[Fe/H]に対するプロット。今回観測した星は大きな中抜き記号で示してある(△:M15, ○:M13, □:M4, ◇:標準星)。比較のために超金属欠乏星(▼)とディスクの星(●)の[K/Fe]比も塗りつぶした小さな記号で表示した。三本の曲線は理論的に計算された[K/Fe]-[Fe/H]関係である。 (拡大) |

