FOCAS filters and sensitivities
All sensitivities on this page are 5-sigma in 1 hour of on-source integration. Point source sensitivities assume 0.5'' seeing, while surface brightness sensitivities are per pixel.
These numbers are preliminary and will be updated after the aluminization of the telescope in this summer and the engineering observation in October. (8/5/2010)
Broad-band filters
Narrow-band filters
These numbers are very preliminary.
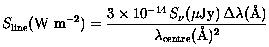
To convert from uJy to an emission line flux, use the following formula:

For example, the point source emission line sensitivity of the N487 filter is \( (3 \times 10^{-14} \times 0.23 \times 53) / 4882^2 = 1.53 \times 10^{-20} \, \text{W/m}^2 \)
