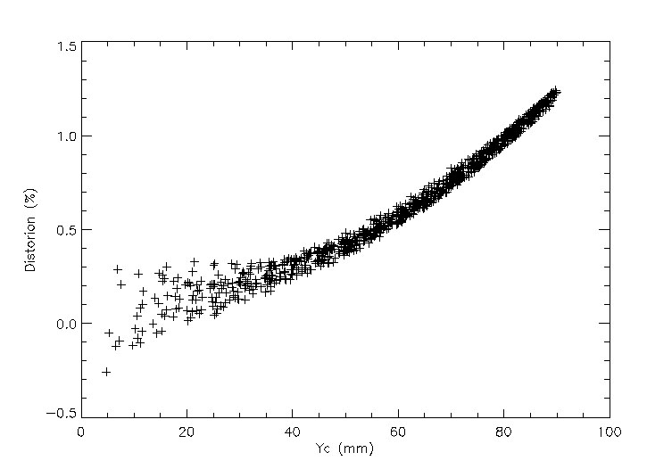
FOCAS image suffers from optical distortion as presented below. This may affect astrometry and image mosaicing (combining several images taken with dithering techniques).
FOCAS team provides software for correcting the distortion.

X, Y: X-Y coordinates on CCD (pixel units)
A vector at lower-left corner corresponds to 5X5 pix
Distortion = (Y-���EYc)/(���EYc)
Y: radial distance from center on CCD
Yc: radial distance from center on slit mask
��: reduction ratio
