CCD basic parameters

Basic data

Maker

Hamamatsu Photonics K.K.

Dimension:

Two 2K x 4K 4-side buttable CCDs

Pixel size

15 um

Pixel scale

0.1038 arcsec/pixel (after distortion correction)

Readout noise

~4e

see this page about the former MIT CCDs


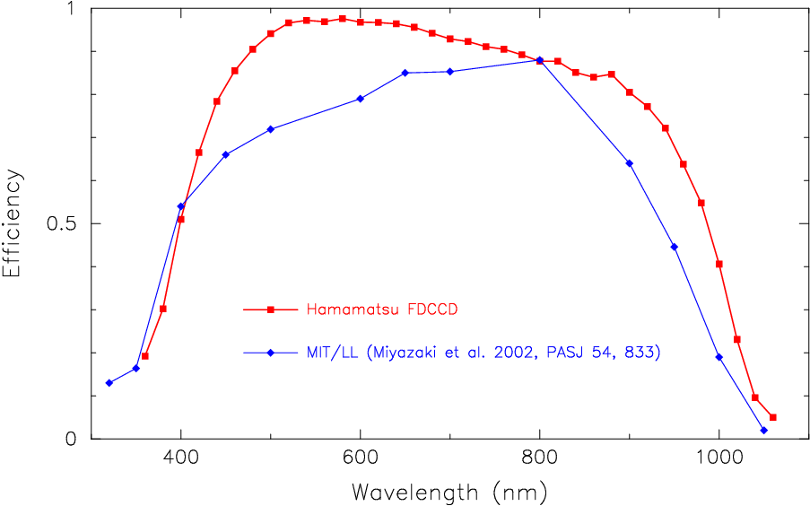
Quantum Efficiency


qe_hpk.png