Last Up Date 2001.8.28
The directions and intervals of the fringes are different between the
detectors. In addition, the direction is independent of the
incident wavelengths, while the intervals increase as the incident
wavelengths. The fringes seem to be due to interference at two surfaces
of high resistivity silicon substrate of the detector, whose thickness
is 500 micron and whose refractive index is about 3.417 at 12micron.
This leads to efficiency dependent on the wavelengths and the position
on the detectors. If the wavelength/pixel relation reproduce exactly
between frames for objects, calibration stars, and flat, the fringes
will be cancelled by flat-fileding and the correction for atmospheric
transmission by calibration stars. However, both of accuracy of positional
reproductivity and rigidity are not high enough now. One must take four
kinds of frames (object frames, flat for them, calibration star frames,
and flat for them) at the same position angles of the instrument rotator
and the same elevations as possible.
This section is only for users before Sep. 2000. This problem was fixed
by upgrading driving clock patterns after Dec. 2000. So, users after that
go to the next section.
The first is output level shifts along columns of detectors.
When a certain column is examined, count for pixels after a pixel
where a high count was read out decrease compared to those for pixels
before the pixel of high count. This phenomenon is caused by hot pixels
and a bright objects. If there is an isolated hot pixel, counts along the
column take the minimum value two pixels after the hot pixel and then
return to the original level exponentially with a time constant of about
10msec. The maximum shift values fluctuate by frames and cannot predict
exactly. These shifts are caused by a drop of reset level for columns of
detector readout multiplexers (MUX) after a strong current was read out.
When the level shifts along columns are large, they affect to the columns
in the same channel and cause the second type drooping effect: the level
shifts within channels. The counts of pixels read out after the high
count pixel drop down (these pixels must belong to the same channel of
the high count pixel). The shifts are almost constant along the row.
The levels return to the original level along columns with the time
constant of about 10msec.
The third is a drop of zero level, appearing for all pixels of the same
rows of the whole detector. Their shift values are estimated to be
constant along rows in most cases. This is caused by a group of high
count pixels, such as a group of hot pixels, an image of bright objects,
and a bright spectrum. This phenomenon will occur if a reset level for
rows of the MUXs drops.
Detector Configuration in COMICS
Manufacturer Santa Barbara Research Center, Raytheon
Model 320x240 Si:As IBC High-Background Astronomy IR Focal Plane Array
CRC-774 Silicon Cryo-CMOS Read-Out Integrated Circuit interconnected to a backside-illuminated Si:As IBS photodetector
Operating Temperature (COMICS) 8.00K at the detector mounts
Format 320 x 240 pixels
Pixel Size 50 micron x 50 micron
Number of Outputs 16 channel
Power Dissipation about 80mW (measured)
Readout Mode integrate-while-read-mode
Multiplexers (MUXs) row MUX circuit, row-reset MUX circuit, column MUX circuit
Source Followers 1 on each unit cell
2 on each Column Clamp, Source Follower, Sample/Hold, Source Follower
1 on each output multiplexer
Sample/Hold Circuit 320 (320 pixel, that is one row, can be sampled/held at once)
Experimental Performances
Conversion factors measured in the laboratory is 140 e-/ADU for
the imaging detector, and 690 and 1100 e-/ADU for two spectroscopic
detectors at 8K. However, when we measured amplifying rate of
multiplexer assuming some condensor capacities on it as designed
values, we obtained 2410e-/ADU for a calculated conversion factor. The large
difference between these two kind of values seem to be caused by
unsusually large excess noises at laboratory measurement for the
formers. So, we just write the parameter values for detectors
not in e- but in ADU below.
Imaging Spectroscopy
Readout noise 2.2 ADU 2 ADU
Dark current 1900 ADU/s 30ADU/s or negligible
Quantum Efficiency 1 10 % 20 %
Quantum Efficiency 2 40 % 40 %
NOTES:
QE 1 is the value when measured conversion factors were used.
QE 2 is the value when calculated conversion factors were used.
See here.
In the intermediate-resolution spectroscopy,
the fringe patterns of intensity like Fig. 1 are observed.
Fig. 1. Dark-subtracted image of intermediate-resolution spectroscopy in
the N-band. Horizontal axis is for wavelength axis and vertical
one is roughly for spatial axis.
When the detectors are used with old clock patterns which was
proposed by SBRC, they show 'drooping effects': that is a phenomenon
that the pixel output values become non-linear and/or are affected by
their surrounding pixels when strong light enters. Cross talk between
pixels in a narrow sense is not included in this effects. A similar
phenomenon was reported for the detectors of SIRTF/IRC (Van Cleve, J;see
here).
In the case of the COMICS detectors, the drooping effects are classified
into three types. Fig. 2. shows how all types of the drooping
are seen in the obtained images.


Fig. 2. Drooping phenomena. (a) Dark image. (b) Star image after chop
subtraction (star image in main-beam is blue and that in offset-beam
is yellow). (c) Star spectrum after chop subtraction.
The numbers in the figures are suggest the type of drooping stated
below. 4 is residuals of sky line emissions after subtraction.
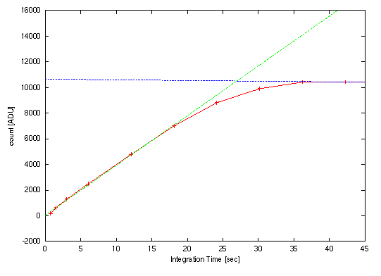
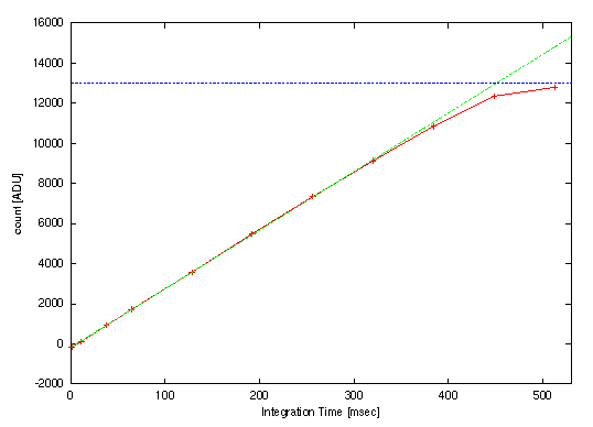
Linearity and Saturation Levels
At observations, one must use the detectors so that output count levels
are within linear range. For most cases, sky brightness is brighter than
object. So one should take care so that sky levels are within the range.
The range where linearity is confirmed is listed and shown below.
Now, one can use the range up to 80% of detector saturation level.
Since sky emission varies according to weather, temperature, and so on, please take care the sky level at all the time during the observations. It sometimes increase rapidly if cloud come over the telescope toward the object. To adjust the output level, one changes the readout cycle by changing clock parameters. The parameters are, for example, PP(Pixel Period) and ND (Electronic ND Filter) at the side most nearest to the hardware.
| Run | Saturation Level[ADU] | Linear Range[ADU] | Dark level on raw images |
| 1999/12 | 10000 | 0-8000 | around -4000[ADU] (dependent on detectors) |
| 2000/03 | 10000 | 0-8000 | around -4000[ADU] (dependent on detectors) |
| 2000/06 | 10000 | 0-8000 | around -4000[ADU] (dependent on detectors) |
| 2000/07 | 10000 | 0-8000 | around -4000[ADU] (dependent on detectors) |
| 2000/12 | 13000 | 0-10000 | around 0[ADU] |
| NOTES (1) Count for saturation level linear range is for the values from the shortest integration (near zero dark current). This level is not zero especially for befor July 2000 as shown above. (2) For till July 2000, linearity is low and count do not follow an exact line even in the range of 0-8000 [ADU]. However, since chopping subtractions are done for COMICS observations, it doesn't matter if local linearity around a certain count level is established. a certain count level. | |||